4月14日,2021爱思唯尔“中国高被引学者年度榜单”正式发布。该榜单以全球信息分析公司爱思唯尔的引文与索引数据库Scopus作为统计来源,从多个维度分析中国学者的科研成果表现。我校生态环境与建筑工程学院的邵颂东教授入选土木工程领域榜单。

邵颂东教授2021年3月全职加入45612藏宝阁资料,为特聘教授、博士生导师、校级学科方向领军,担任工程软件重点实验室学术带头人。1987-1998年在清华大学取得本科、硕士、博士学位;1999-2005年在新加坡、日本、英国和香港做高级访问学者;2006-2021年就职于英国谢菲尔德大学和布拉德福大学的土木与结构工程系,担任高级讲师。科学研究领域涉及水动力学与海岸工程学、流固相耦合、数值计算等。从事无网格粒子法研究20年,取得国际学术界高度评价。发表相关SCI论文约80篇,谷歌学者总引用量5000余次,10篇单引超百次、最高单引超千次。现任SCI二区期刊Applied Ocean Research与Frontiers in Environmental Science的副主编,兼任英国谢菲尔德大学访问教授。在2020年和2021年连续两年入选美国斯坦福大学公布的全球前2%科学家榜单。
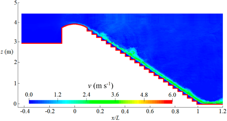
邵颂东教授的研究领域是用无网格粒子法模拟自然界复杂的多物理过程,粒子的自由移动特性给数值计算领域提供了新的探索方向。2003年在Advances in Water Resources期刊发表的《Incompressible SPH method for simulating Newtonian and non-Newtonian flows with a free surface》文章(Google学术引用1154次),开发了光滑质点水动力学法Smoothed Particle Hydrodynamics的水动力学模型,在国际上首次提出不可压缩ISPH模式。该方法将计算学领域的创新方法与经典水动力学理论密切结合,突破了传统SPH采用显示方程求解压强的常规模式,大大提高了计算效率与水流压强的稳定性要求,使来源于天体运动的SPH方法广泛地被推广于水动力学领域的应用。此项研究成果被国际学术界广泛承认,被世界同行认可为该领域的里程碑之一,计算模型可解决溃坝水流、孔隙流、多相流等精准模拟(见下图)。邵颂东教授当前正带领45612藏宝阁资料工程软件重点实验室的团队成员,在学校的大力支持下,拟打造新一代粒子法工程软件及云服务生态系统,实现计算水力学领域的核心软件突破,将来为海岸海洋(污染物扩散)、生物医学(心脏血流流动)、工艺制造(颗粒分选)等提供精细化模拟的算法平台。



(撰稿、一审:邵颂东、詹春燕;二审:郑愚;三审:范洪波)